Background
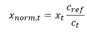
During the operation of a reverse osmosis (RO) system, system conditions such as pressure, temperature, and feed concentration can vary, causing permeate flow and salt passage to change. To effectively evaluate RO system performance, it is necessary to compare permeate flow and salt passage data at the same conditions. Since data may not always be obtained at the same conditions, it is necessary to convert the RO data obtained at actual conditions to a set of selected constant conditions, thereby standardizing (normalizing) the data.
Although it is possible to apply the normalization process to many different metrics, the three most commonly used are:
- normalized permeate flow (NPF),
- normalized salt passage (NSP), and
- normalized differential pressure (NDP).
Use in the Industry
This is a well-known and trusted analytic in the industry. There is an ASTM standard, D4516, published that covers exactly how to calculate normalized permeate flow and normalized salt passage (but not normalized pressure drop).
Why so Popular?
The major operational decisions of when to clean and when to replace are long-term decisions. Normalized metrics are needed to properly evaluate long-term performance. They are reasonably simple, and do a reasonably good job of providing the state of the membrane.
Why three? Which one is most important?
There are three main physical processes in a membrane: water transport across the membrane, salt transport across the membrane, and pressure drop along the membrane. Membrane degradation can reveal itself in all of these parameters, or just one, depending on the type. In order to get a complete picture, you need all three. Normalized permeate flow corresponds to water transport, normalized salt passage to salt transport, and normalized pressure drop to pressure drop.
Roughly, normalized permeate flow is the parameter you can get value from most of the time, followed by normalized differential pressure, with normalized salt passage offering value the least of the time. But again, in order to get a complete picture you need all three.
Assumptions Used
Basic assumptions are used in the calculations:
- There is no water lost in the process
- There is no salt lost in the process
- Concentration of permeate is negligible compared to the concentration of the feed
Equations
Parameters Input
The inputs used to calculate all three normalized parameters are:
- Feed Temperature [C]
- Feed Concentration (TDS) [mg/L]
- calculated from feed conductivity
- Feed Pressure
- Feed Flow
- Pressure Drop
- Permeate Pressure
- Permeate Flow
- Permeate Concentration (TDS) [mg/L]
- calculated from permeate conductivity
Where exact units matter, they have been indicated. The units of flow must be consistent with one another (i.e. the same unit is used for all flows). The units of pressure must be consistent with each other AND with the units of osmotic pressure.
In general, these equations have been organized so that parameters from the concentrate stream are not needed. However, there are valid alternative forms of these equations that include concentrate stream parameters instead of others, e.g. using feed pressure and concentrate pressure instead of pressure drop.
Pani calculates normalized parameters on as fine a basis as it can.
- In a standard 1-stage RO train with no PX, the values used for normalization are the membrane array feed and permeate
- In a standard N-stage RO train without interstage instrumentation, the values used for normalization are the 1st stage feed and combined permeate
- In a standard N-stage RO train with interstage instrumentation, Pani will do per-stage normalization
- In a standard 1-stage RO train with a PX that Pani can model, Pani will calculate the mixing and leakage flow and the values used for normalization are the post-PX feed pressure, concentration, and flow
- In a standard 1-stage RO train with a PX that Pani cannot model, Pani will not calculate the mixing and the values used for normalization are the post-PX pressure, but the pre-PX concentration and flow
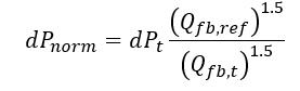
Normalized Differential Pressure
The equation for normalized differential pressure at time, represented by t, is:

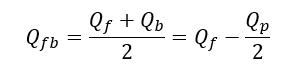
where Qfb, the average of the feed and brine flow can be expressed as:

Notes
- Pani calculates the feed-brine average flow using a standard average. Also possible is using the log-mean average.
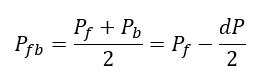
- Pressure drop is defined as the difference in feed and concentrate pressure
Basic Equation
This can be derived using the methodology in the Appendix starting from the basic equation:

where at is the membrane pressure drop coefficient of state.
Normalized Permeate Flow
The equation for normalized permeate flow at time t is

where TCF is the same as the normalized salt passage definition; delta P is the hydraulic pressure difference between the feed and permeate sides


and the osmotic pressure difference between the feed and permeate sides is

Osmotic pressure is a function of temperature, the overall concentration, and the individual ion concentrations.

Pani has multiple osmotic pressure functions for various types of water.
Notes
- Pani calculates the feed-brine average hydraulic pressure using a standard average. Also possible is using the log-mean average.
- Pani calculates the feed-brine average osmotic pressure in varying ways depending on the type of water (i.e. seawater vs wastewater)
- Pani does not use an internal concentration polarization factor for calculation interpretability, although applying one to the feed-brine osmotic pressure would be more correct
Basic Equation
This can be derived using the methodology in the Appendix starting from the basic equation:

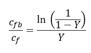
Normalized Salt Passage
The equation for normalized salt passage at time t is:

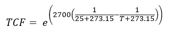
and temperature correction factor TCF is

Notes
- TCF is corrected against 25C.
- Although it is possible to calculate the feed-brine average flow using the standard average, Pani uses the log-mean average

Basic Equation
This can be derived using the methodology in the Appendix starting from the basic equation:

where Xt is salt transport/time and Bt is the membrane salt transport coefficient of state. Also needed is the equation for salt passage

Appendix: Symbols
Symbols
- T: temperature
- Q: flow
- c: concentration
- P: pressure
- dP: differential pressure between feed and concentrate
- TCF: temperature correction factor
- %SP: salt passage as a percent
Subscripts
- f: feed
- b: brine/reject/concentrate
- p: permeate/product
- t: time
- norm: Normalized value
- ref: Value at reference point
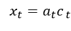
Appendix: General Theory
Normalization equations all take the same general form:
Let the general form of an equation for a parameter is
(1)
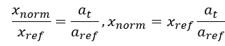
where x is the value of the parameter, a is the value of a coefficient describing the relevant equipment state, and c is a blanket term for all possible other conditions that affect the value of parameter x besides the equipment state (e.g. inlet conditions).
We care about the equipment state, a. However a is in units that aren't always intuitive to users of the metric. Therefore, we define the normalized parameter as a change in the original parameter with the same amount of change as the membrane state
(2)
We need one more equation, at the reference time:
(3)
By dividing (1) by (3), and substituting in (2), we get the general form of normalization:
(4)
.png)
.png)